CS 455 - Computer Networks
Homework 7
Due: See class webpage.
Question 1 (40 pts)
Consider a number of inter-connected LAN connected in the following manner:
For simplicity, we remove the
LANs from the figure:
Questions:
- Give the values of the initial state of the bridges when
they are initialized in the following figure: (10 pts)
Write the state of the ports in their corresponding boxes.
- Give the configuration control messages sent by each bridge in the
state given above (10 pts)
- Bridge 0: ________________________
- Bridge 1: ________________________
- Bridge 2: ________________________
- Bridge 3: ________________________
- Bridge 4: ________________________
- Show the values of the state variables of the bridges
after the configuration control messages that were transmitted
in part 2 (above)
have been processed: (10 pts)
- Show the values of the state variables of the bridges
after the Spanning Tree Algorithm
has converged to
the final state: (10 pts)
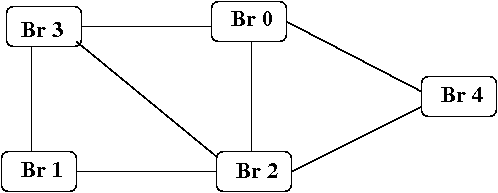
Question 2 (30 pts)
- Given that network is in the state given the following
figure:
There are no blocked port in the above state.
Give the state of the ports
in the above figure (10 pts).
- Give the configuration control messages sent by each bridge in the
state given above (10 pts)
- Bridge 0: ________________________
- Bridge 1: ________________________
- Bridge 2: ________________________
- Bridge 3: ________________________
- Bridge 4: ________________________
- Show the values of the state variables of the bridges
after the configuration control messages that were transmitted
in part 2 (above)
have been processed: (10 pts)
Question 3 (30 pts)